Beranda
/ Cara Mencari Persamaan Garis / Garis Singgung Dan Garis Normal : Cara mencari titik potong pada sumbu x adalah dengan membuat variabel y menjadi 0.
Cara Mencari Persamaan Garis / Garis Singgung Dan Garis Normal : Cara mencari titik potong pada sumbu x adalah dengan membuat variabel y menjadi 0.
Cara Mencari Persamaan Garis / Garis Singgung Dan Garis Normal : Cara mencari titik potong pada sumbu x adalah dengan membuat variabel y menjadi 0.. Y = y0 + bt. Untuk menentukan persamaan garis tersebut kita harus mensubstitusi titik (x1, y1) ke persamaan y = mx + c untuk memperoleh nilai c, maka: Untuk mendapatkan nilai gradien dengan persamaan garis bentuk ax + by + c = 0 dapat menggunakan perbandingan koefisien x dibanding koefisien y, dengan. Jadi, saat y = 0, nilai x yang dihasilkan adalah 2. Kalkulus memperkenalkan ide kepada siswa bahwa setiap titik di grafik dapat dijabarkan dengan kemiringan,.
Untuk mencari nilai gradien garis, subtitusikan persamaan pada persamaan lingkaran. Pertama → cari gradien garisnya. Dari rumus tersebut diketahui rumus persamaannya sebagai berikut: Bentuk persamaan garis juga dapat dinyatakan dalam persamaan ax + by + c = 0. Dibawah ini beberapa contoh untuk menyatakan persamaan garis lurus, yaitu :
Cara Menentukan Persamaan Garis Lurus Matematika Kelas 8 from www.ruangguru.com Cara mencari titik potong pada sumbu x adalah dengan membuat variabel y menjadi 0. Apakah anda sudah memahami persamaan garis singgung dan persamaan garis normal di titik tertentu pada kurva? Penyebab kebingungan kami adalah hasil nya tidak sama dengan dikunci (tidak patut ditiru) hahaa. Persamaan 1 di atas dinamakan persamaan parametrik dari garis. Oleh karena itu sebelum aku kasih tau cara menentukan sistem pertidaksamaan dari daerah yang diarsir, aku akan ulas dulu materi saat kamu masih smp. Untuk mendapatkan persamaan garis lurus dari dua buah titik, maka ada dua langkah yang harus dilakukan. Jawaban yang mungkin hanya c. Akan tetapi dari rumus diatas, nilai gradien garis belum diketahui.
X = x0 + at.
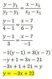
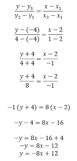
Untuk menentukan persamaan garis tersebut kita harus mensubstitusi titik (x1, y1) ke persamaan y = mx + c untuk memperoleh nilai c, maka: Rumus untuk gradien garis adalah seperti dibawah ini. Persamaan 1 di atas dinamakan persamaan parametrik dari garis. Jawaban yang mungkin hanya c. December 2013 cara cepat menyelesaikan soal persamaan garis lurus smp pada kasus tegak lurussetelah pada postingan sebelumnya sudah membahas tentang penyelesaian soal persamaan linear untuk dua garis yang sejajar, pada pada kesempatan kali ini saya akan berbagi tips dan pengetahuan tentang bagaimana menyelesaikan. Cari titik potong di sumbu x. Persamaan parametrik untuk garis tersebut adalah: Persamaan garis lurus yaitu suatu perbandingan antara koordinat y dan koordinat x dari dua titik yang terletak pada sebuah garis. Kedua → cari persamaan garis. Dari rumus tersebut diketahui rumus persamaannya sebagai berikut: Apakah anda sudah memahami persamaan garis singgung dan persamaan garis normal di titik tertentu pada kurva? Fungsi tersebut adalah fungsi rasional. Domain dari fungsi polynomial ini adalah semua nilai x bilangan real kecuali nilai x yang mengakibatkan.
Mencari persamaan garis merupakan soal yang umum ditemukan dalam geometri dan trigonometri. Y = mx + c. Cara mencari titik potong pada sumbu x adalah dengan membuat variabel y menjadi 0. Berdasarkan penjelasan dan contoh soal di atas maka dapat ditarik kesimpulan bahwa persamaan garis yang melalui titik o (0, 0) dan titik p (x1, y1) adalah y = (y1/x1)x. Jawaban yang mungkin hanya c.
Cara Cepat Menyelesaikan Soal Persamaan Garis Lurus Ronald Chilitonga Academia Edu from 0.academia-photos.com Dari rumus tersebut diketahui rumus persamaannya sebagai berikut: Bentuk umum dari persamaan kuadrat ialah sebagai berikut: Persamaan parametrik untuk garis tersebut adalah: Pada postingan ini mafia online akan membahas kebalikan dari yang sudah dibahas pada postingan sebelumnya yakni cara menentukan persamaan garis melalui sebuah titik (x1, y1) dengan gradien m.misalkan persamaan garis yang dimaksud adalah y = mx + c. Ada dua jenis situasi dalam soal yang meminta anda mencari persamaan suatu garis, yaitu ketika diketahui satu titik. Karena garisnya sejajar, maka m 1 = m 2 = 2. Cara mencari titik potong pada sumbu x adalah dengan membuat variabel y menjadi 0. Domain dari fungsi polynomial ini adalah semua nilai x bilangan real kecuali nilai x yang mengakibatkan.
Persamaan garis lurus yaitu suatu perbandingan antara koordinat y dan koordinat x dari dua titik yang terletak pada sebuah garis.
Langkah 2 ⇒ mencari gradien garis. Persamaan garis lurus dapat dibuat dengan mengetahui nilai gradien dan salah satu titik yang dilewati. Nilai dan dijadikan variabel x dan y, sehingga rumus gradien nya bisa dimodifikasi menjadi: Penyebab kebingungan kami adalah hasil nya tidak sama dengan dikunci (tidak patut ditiru) hahaa. Sebelum kita belajar ke materi inti yaitu cara mencari persamaan garis singgung kurva,… Y = ½x + 0. M disebut gradien / kemiringan. Pertama → cari gradien garisnya. Persamaan garis lurus dengan melewati titik (x1,y1) dengan gradien m. Untuk mencari nilai gradien garis, subtitusikan persamaan pada persamaan lingkaran. Untuk mendapatkan nilai gradien dengan persamaan garis bentuk ax + by + c = 0 dapat menggunakan perbandingan koefisien x dibanding koefisien y, dengan. Mencari persamaan garis adalah masalah biasa dalam kajian geometri dan trigonometri. Rumus untuk gradien garis adalah seperti dibawah ini.
Misalkan diketahui garis g 2 melalui titik (x 1, y 1) dan sejajar dengan garis g 1 maka untuk mencari persamaan garis yang saling sejajar dapat menggunakan persamaan berikut. Contoh soal persamaan garis singgung kurva Jadi, saat y = 0, nilai x yang dihasilkan adalah 2. Sebuah bidang yang memuat garis dan tegak lurus ke bidang koordinat disebut bidang. Cara mencari persamaan garis singgung kurva, kita harus tahu dulu mengenai gradien garis yang disimbolkan dengan m, dimana :
Persamaan Garis Lurus Rumus Menentukan Dan Contoh Soal from www.dosenpendidikan.co.id Cara mencari persamaan garis tangen. Untuk menentukan persamaan garis tersebut kita harus mensubstitusi titik (x1, y1) ke persamaan y = mx + c untuk memperoleh nilai c, maka: Mencari persamaan garis adalah masalah biasa dalam kajian geometri dan trigonometri. Misalkan diketahui garis g 2 melalui titik (x 1, y 1) dan sejajar dengan garis g 1 maka untuk mencari persamaan garis yang saling sejajar dapat menggunakan persamaan berikut. Dengan menyamakan nilai t pada ketiga persamaan diperoleh persamaan garis berikut x − x1 a = y − y1 b = z − z1 c (2) persamaan 2 ini dinamakan persamaan simetri dari garis lurus di dimensi tiga. Persamaan garis melewati titik (0,c) sementara gradiennya adalah m. Kedua → cari persamaan garis. Persamaan garis normal bergradien dan melalui a(x 1,y 1) untuk memperjelas persamaan garis singgung dan garis normal, ikuti simulasi berikut ini:
Pada postingan ini mafia online akan membahas kebalikan dari yang sudah dibahas pada postingan sebelumnya yakni cara menentukan persamaan garis melalui sebuah titik (x1, y1) dengan gradien m.misalkan persamaan garis yang dimaksud adalah y = mx + c.
X = x0 + at. Nah, itulah langkah yang akan kita lakukan. Terdapat dua situasi biasa di mana permintaan ini dapat dibuat dalam latihan anda: Dibawah ini beberapa contoh untuk menyatakan persamaan garis lurus, yaitu : Cara mencari persamaan garis tangen. Persamaan garis lurus dapat dibuat dengan mengetahui nilai gradien dan salah satu titik yang dilewati. Cara mencari persamaan garis singgung kurva, kita harus tahu dulu mengenai gradien garis yang disimbolkan dengan m, dimana : Jika diketahui dua titik yang dilalui. Assalamu'alaikum pada tulisan pertama yang saya tulis di blog sederhana ini akan membahas mengenai cara mencari persamaan garis normal. Untuk mecari persamaan garis singgung, digunakan rumus persamaan garis biasa, yaitu: M disebut gradien / kemiringan. Bentuk umum dari persamaan kuadrat ialah sebagai berikut: Cara mencari persamaan garis yang saling sejajar.
Berbagi
Posting Komentar
untuk "Cara Mencari Persamaan Garis / Garis Singgung Dan Garis Normal : Cara mencari titik potong pada sumbu x adalah dengan membuat variabel y menjadi 0."
Posting Komentar untuk "Cara Mencari Persamaan Garis / Garis Singgung Dan Garis Normal : Cara mencari titik potong pada sumbu x adalah dengan membuat variabel y menjadi 0."